Capacidad de Deformación de las Vigas, Columnas y Muros (Eurocódigos)
El valor de la capacidad de rotación de cuerda de las vigas rectangulares y las columnas se calcula a través de expresiones diferentes, dependiendo del estado de daño de la estructura.
Estado
Líminte de Colapso Cercano (NC)
El
valor de la rotación de cuerda para el estado límite del colapso
cercano (NC) es el valor de la rotación de cuerda total última
(parte elástica más la inelástica) de
los miembros de concreto bajo cargas cíclicas, la cual se calcula
con las ecuaciones (A.1) y (A.3) del EC8: Parte 3 (CEN, 2005b):

Donde γel es igual al 1,5 para los elementos sísmicos primarios, igual a 1,0 para los elementos sísmicos secundarios, y LV es la razón entre el momento de flexión, M, y la fuerza cortante V. Los parámetros restantes se definen en la sección A.3.2.2 del EC8: Parte 3.
Para muros, el valor dado en la ecuación (A.1) se multiplica por 0.58.
La rotación de cuerda total última de los miembros de concreto bajo carga cíclica también puede calcularse como la sumatoria de la capacidad de rotación en la cedencia, y la parte plástica de la capacidad de rotación, calculada con la ecuación siguiente:

Donde γel es igual a 1,8 para los elementos sísmicos primarios, 1,0 para los secundarios; la rotación en la cedencia θy, se calcula de acuerdo con la sección A.3.2.4 del EC8: Parte 3 y los parámetros restantes están definidos en la sección A.3.2.2 del EC8: Parte 3.
En los muros, el valor &&<<![if !msEquation]> dado por la ecuación (A.3) se multiplica por 0,6.
Estado
Límite de Daño Significativo
(SD)
La
capacidad de rotación de cuerda correspondiente al estado límite
del daño significativo (SD) se asume como ¾ de la rotación de
cuerda última, calculada con las ecuaciones anteriores.
Estado
Límite de Daño Limitado
(DL)
La
capacidad de rotación de cuerda que corresponde al estado límite
de daño limitado (DL) está dada por la rotación de cuerda en la
cedencia, evaluada como:
Para vigas y columnas rectangulares:

Para paredes o secciones rectangulares en forma de T:

O a partir de expresiones alternativas equivalentes para las vigas y las columnas rectangulares:

Para paredes o secciones rectangulares en forma de T:

Donde αV es igual a cero si el momento de flexión es menor que LV multiplicado por la resistencia a cortante del concreto– VR,c - y 1.0 si no lo es. VR, se calcula de acuerdo con las provisiones EN1992-1-1:2004 para elementos de concreto sin refuerzo a cortante. Los parámetros restantes se definen en la sección A.3.2.4 del EC8: Parte 3.
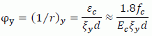
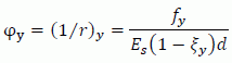
La curvatura de cedencia en la sección del extremo se calcula de acuerdo con las siguientes expresiones, (a) para el caso en que la sección está en fluencia debido a la fluencia del acero y (b) para el caso en que la sección está en fluencia debido a las no linealidades en la deformación del concreto en compresión.
(a)
(b)
De acuerdo con el Anexo A del EN1998-3 la capacidad de rotación de cuerda está altamente influenciada por varios factores diferentes tales como el tipo de varillas de refuerzo longitudinales. Si se utiliza acero forjado en frio la rotación de cuerda plástica se divide entre 2, mientras que si se utilizan varillas de refuerzo lisas, entonces la sección A.3.2.2(5) del Anexo A se debe utilizar, tomando también en consideración si las varillas longitudinales tienen traslape adecuado o no. En el caso de miembros con falta de detallado sísmico apropiado la parte plástica de la rotación de cuerda se multiplica por 0.825. Además, si las varillas longitudinales deformadas tienen los extremos rectos, traslapados al inicio de la sección extrema del miembro, la parte plástica de la rotación de cuerda se calcula con el valor del refuerzo a compresión, ω’, al doble sobre el valor aplicado fuera de la región de traslape. En secciones donde la longitud de traslape entre secciones lo es menor que la longitud de traslape mínima para alcanzar la deformación ultima lou,min, la parte de la rotación de cuerda plástica se multiplica por la razón lo/lou,min. Para más información sobre el cálculo de lou,min puede referirse a A.3.2.2(4) del Anexo A, mientras que el valor de rotación de cuerda de cedencia, θy toma en cuenta el efecto de traslape de acuerdo con e A.3.2.4(3) del Anexo A.