Basitleştirilmiş iki doğrulu Takeda eğrisi - Takeda
Bu model Otani [1974]'te tanımlanan değiştirilmiş Takeda histerezis ilmiğini temsil eder. Boşaltma kuralları, Emori ve Schonobrich [1978]'de tanılandığı gibidir. Aslında, mevcut model Takeda et al. [1970] tarafından önerilmiş olan hakiki üç doğrulu modelin iki doğrulu şekilde basitleştirilmesi olup, iç tekrarlı eğri kuralları Clough and Johnston [1966] tarafından tanımlanan iki doğrulu histeretik modelden farklıdır. Bu davranış eğrisi ilk defa Otani [1981] tarafından programlanmış olup, beş parametreye sahiptir:
Akma mukavemeti (Fy)
Varsayılan değeri 500'dür.
İlk rijitlik (Ky)
Varsayılan değeri 200000'dir.
Akma sonrası rijitliğin ilk rijitliğe oranı (
)
Varsayılan değeri 0,1'dir.
Dış döngüdeki rijitlik kaybı katsayısı (
0)
Varsayılan değeri 0,4'dür.
İç döngüdeki rijitlik kaybı katsayısı (
1)
Varsayılan değeri 0,9'dur.

Notlar
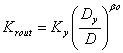
- Dış döngüdeki akma sonrası boşaltma rijitliği aşağıdaki
gibi tanımlanır:

Ky: İlk rijitlik
Dy: Akma yer değiştirmesi (deplasmanı)
Dm: Bir önceki en büyük deplasman (yer değiştirme)
0: Dış
döngüdeki rijitlik kaybı katsayısı (Krout),
yani birincil eğriden boşaltma için - İç döngüdeki akma sonrası boşaltma rijitliği aşağıdaki
gibi tanımlanır:

1: İç
döngüdeki rijitlik kaybı katsayısı (Krin
=
1
* Krout),
yani iç döngülerde boşaltma ve yeniden yükleme için