Regolazione automatica dell'incremento di carico o del time-step
Come discusso qui, per ciascun incremento, vengono condotte diverse iterazioni fino al raggiungimento della convergenza. Se la convergenza, però, non viene raggiunta in un numero massimo di iterazioni specificato, viene ridotto l'incremento di carico (o l'intervallo di tempo) e l'analisi viene ripresa dall'ultimo punto di equilibrio (ossia dalla fine del precedente incremento o intervallo di tempo). Questa riduzione del passo, comunque, non è costante ma si adatta al livello di non-convergenza verificato.
Come illustrato sotto, alla fine del passo di soluzione o dell'incremento viene calcolato un indicatore di convergenza (convrat), definito come il massimo rapporto fra i fattori di convergenza raggiunti e richiesti in spostamento/forza (si vedano i criteri di convergenza). Quindi, a seconda di quanto l'analisi è lontana dal raggiungimento della convergenza (convrat = 1.0), viene adottato un fattore di riduzione del passo (srf) - piccolo, medio o grande - che viene utilizzato nel calcolo del nuovo fattore di incremento (ifac). Il prodotto fra quest'ultimo ed il primo passo di tempo (o incremento di carico), definito dall'utente all'inizio dell'analisi, definisce il passo ridotto dell'analisi da utilizzare nell'incremento successivo.
E' utile ricordare che, per evitare che analisi mal-condizionate (che non raggiungono mai la convergenza) continuino a girare all'infinito, l'utente deve impostare un limite minimo per il fattore di incremento (facmin), il quale viene continuamente verificato. Pertanto, se ifac risulta più piccolo di facmin l'analisi viene terminata.

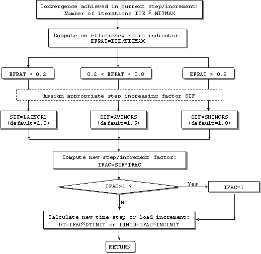
Per minimizzare la durata delle analisi è fondamentale che, una volta raggiunta la convergenza, l'incremento di carico o l'intervallo di tempo siano gradualmente aumentati. Per questa ragione viene calcolato un indicatore di efficienza (efrat), definito come il rapporto tra il numero di iterazioni (ite) condotte per raggiungere la convergenza e il numero massimo di iterazioni ammesso (nitmax). A seconda di quanto l'analisi è lontana dall'efficienza (efrat > 0.8), viene adottato un fattore di incremento del passo (sif) - piccolo, medio o grande - che viene utilizzato nel calcolo del nuovo fattore di incremento (ifac). Il prodotto fra quest'ultimo ed il primo intervallo di tempo (o incremento di carico), definito dall'utente all'inizio dell'analisi, conduce ad un passo aumentato da usare nell'incremento successivo.
Si sottolinea inoltre che il fattore di incremento è limitato superiormente dal valore 1, in modo da assicurare che l'intervallo di tempo o l'incremento di carico non diventino più grandi del corrispondente valore iniziale, definito dall'utente all'inizio dell'analisi. L'unica eccezione a questa regola si ha nel caso dell'analisi pushover condotta con l'algoritmo di carico/soluzione Controllo Automatico della Risposta, utilizzato quando l'utente è principalmente interessato alla soluzione finale piuttosto che al percorso carico/risposta richiesto per arrivare a tale punto di equilibrio finale.
