Resistenza a Taglio (NTC-18)
La resistenza a taglio è calcolata attraverso le espressioni definite nella sezione 4.1.2.3.5 delle NTC-18 e sezione C.8.7.2.3.5 della Circolare Applicativa delle NTC-18, dipendenti dal valore di domanda di duttilità.
Per valori di domanda di duttilità minori di 1
Nel caso in cui il valore di domanda di duttilità sia minore di 1, la capacità a taglio è calcolata dall’equazione 4.1.23 delle NTC-18, che corrisponde alla resistenza dell’elemento senza considerare le armature trasversali:

Per valori di domanda di duttilità compresi tra 1 e 2
Quando il valore di domanda di duttilità è compreso tra 1 e 2, allora la resistenza a taglio è uguale al Massimo valore ottenuto dall’equazione 4.1.29 delle NTC-18 e 8.7.2.8 della Circolare Applicativa NTC-18.
L’equazione 4.1.29 delle NTC-18 corrisponde alla capacità a taglio degli elementi tenendo in considerazione l’armatura trasversale.

dove VRsd è la resistenza a taglio che corrisponde al contributo dell’armatura a taglio calcolata in accordo con la seguente equazione:

e VRcd è la resistenza a taglio che corrisponde al nucleo di calcestruzzo confinato ed è calcolata secondo la seguente espressione:

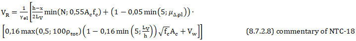
L’equazione 8.7.2.8 della Circolare Applicativa delle NTC-18 corrisponde alla resistenza a taglio controllata dalle staffe, tenendo conto della riduzione dovuta alla parte plastica della domanda di duttilità.

dove γel è pari a 1,15 per elementi primari e a 1,0 per elementi secondari, le altre variabili sono calcolate come definite nella sezione C.8.7.2.3.5 della Circolare Applicativa delle NTC-18.
Per valori di domanda di duttilità maggiori di 3
Se il valore di domanda di duttilità è maggiore di 3, la resistenza a taglio è calcolata dall’equazione 8.7.2.8 della Circolare Applicativa delle NTC-18.
Per valori di domanda di duttilità compresi tra 2 e 3
Infine, per valori di duttilità compresi tra 2 e 3, deve essere eseguita una interpolazione lineare.
Incamiciatura in c.a.
Il valore di resistenza a taglio, VR*, di elementi incamiciati che sono impiegati nelle verifiche di resistenza dipendono dal corrispondente valore calcolato secondo le ipotesi della sezione C8.7.4.2.1 della Circolare Applicativa delle NTC-18, in accordo con la seguente equazione:

Fasciatura in FRP
La resistenza in condizioni cicliche VR, può essere calcolata come nella sezione 4.1 delle NTC-18 aggiungendo a Vw il contributo della camicia in FRP alla resistenza al taglio. Il contributo della camicia in FRP a Vw è calcolato in accordo con l’equazione 4.19 del CNR-DT 200 R1/2013:
