Αυτόματη προσαρμογή της αύξησης φορτίου ή του βήματος χρόνου
Όπως αναφέρθηκε εδώ, για κάθε αύξηση, πραγματοποιούνται αρκετές επαναλήψεις μέχρις ότου επιτευχθεί σύγκλιση. Εάν η σύγκλιση δεν επιτευχθεί εντός του προκαθορισμένου μέγιστου αριθμού επαναλήψεων, η αύξηση φορτίου (ή το βήμα χρόνου) μειώνεται και η ανάλυση ξεκινά από το τελευταίο σημείο ισορροπίας (τέλος προηγούμενης αύξησης ή χρονικού βήματος). Ωστόσο, αυτή η μείωση βημάτων, δεν είναι σταθερή αλλά προσαρμοσμένη στο επίπεδο της μη-σύγκλισης που συνέβη.
Όπως φαίνεται παρακάτω, στο τέλος ενός βήματος επίλυσης ή μιας αύξησης, υπολογίζεται ένας δείκτης λόγου σύγκλισης (convrat), ο οποίος ορίζεται ως το μέγιστο των λόγων μεταξύ των επιτευχθέντων και των απαιτούμενων παραγόντων σύγκλισης μετατόπισης/δυνάμεως (βλέπε σύγκλιση). Στη συνέχεια, ανάλογα με το πόσο μακριά η ανάλυση ήταν από την επίτευξη σύγκλισης (convrat = 1.0), υιοθετείται ένας μικρός, μέσος ή μεγάλος συντελεστής μείωσης βημάτων (srf) και χρησιμοποιείται στον υπολογισμό του νέου συντελεστή βημάτων (ifac). Το προϊόν μεταξύ του τελευταίου και του αρχικού χρονικού βήματος ή τελευταίας και αρχικής αύξησης φορτίου, που ορίζεται από τον χρήστη στην αρχή της ανάλυσης, αποδίδει το μειωμένο βήμα ανάλυσης που θα χρησιμοποιηθεί στην επακόλουθη αύξηση.
Εντούτοις, αξίζει να σημειωθεί ότι, για να αποφευχθεί μια ακαθόριστη ανάλυση (η οποία ποτέ δεν φτάνει στη σύγκλιση) να συνεχίζει να επαναλαμβάνεται απεριόριστα, επιβάλλεται και ελέγχεται ένα κατώτατο όριο καθορισμένο από το χρήστη για τον παράγοντα βήματος (facmin). Εάν το ifac είναι μικρότερο από το facmin τότε η ανάλυση τερματίζεται.

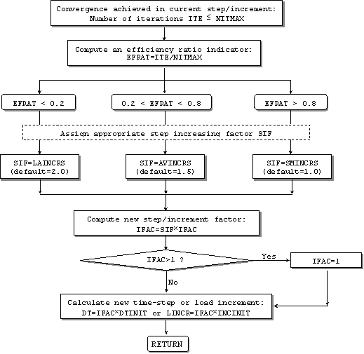
Για να ελαχιστοποιηθεί η διάρκεια των αναλύσεων, είναι ιδιαίτερα σημαντικό να αυξηθεί σταδιακά το φορτίο ή η χρονική βαθμίδα, μόλις επιτευχθεί η σύγκλιση. Για το λόγο αυτό, υπολογίζεται ένας δείκτης απόδοσης (effrat), ο οποίος ορίζεται ως ο λόγος μεταξύ του αριθμού των επαναλήψεων που πραγματοποιήθηκαν (ite) για να επιτευχθεί η σύγκλιση και του μέγιστου αριθμού των επαναλήψεων που επιτράπηκαν (nitmax). Ανάλογα με το πόσο μακριά ήταν η ανάλυση από την «αποτελεσματικότητα» (efrat> 0,8), υιοθετείται ένας συντελεστής αύξησης μικρού, μέσου ή μεγάλου βήματος (sif) και χρησιμοποιείται στον υπολογισμό του νέου συντελεστή βημάτων (ifac). Το προϊόν μεταξύ του τελευταίου και του αρχικού χρονικού βήματος ή τελευταίας και αρχικής αύξησης φορτίου, που ορίζεται από τον χρήστη στην αρχή της ανάλυσης, αποδίδει το ενισχυμένο βήμα ανάλυσης που θα χρησιμοποιηθεί στην επακόλουθη αύξηση.
Εντούτοις, αξίζει να σημειωθεί ότι ο συντελεστής βήματος έχει ως άνω όριο την τιμή 1, έτσι ώστε να διασφαλιστεί ότι το βήμα του χρόνου ή η αύξηση του φορτίου δεν θα είναι μεγαλύτερα από τα αντίστοιχα αρχικά τους, που ορίζονται από τον χρήστη στην αρχή της ανάλυσης. Η μόνη εξαίρεση σε αυτόν τον κανόνα συμβαίνει όταν εκτελείται ανάλυση pushover χρησιμοποιώντας αλγόριθμο φόρτισης/λύσης Αυτόματο Έλεγχο Απόκρισης, ο οποίος χρησιμοποιείται όταν το κύριο ενδιαφέρον των χρηστών επικεντρώνεται στην τελική λύση και όχι στη «διαδρομή» φόρτισης/απόκρισης που ακολουθήθηκε για να επιτευχθεί αυτό το τελικό σημείο ισορροπίας.
