Διατμητική Αντοχή (NTC-18)
Η διατμητική αντοχή υπολογίζεται από την ακόλουθη έκφραση σύμφωνα με την ενότητα 4.1.2.3.5 του NTC-18 και την ενότητα C.8.7.2.3.5 του σχολιασμού του NTC-18, ανάλογα με την τιμή απαίτησης της πλαστιμότητας.
Για τιμές απαίτησης πλαστιμότητας μικρότερης του 1
Σε περιπτώσεις όπου η τιμή της απαίτηση πλαστιμότητας είναι μικρότερη του 1 η αντοχή σε διάτμηση υπολογίζεται από την εξίσωση 4.1.23 του NTC-18, η οποία αντιστοιχεί στα στοιχεία που δεν λαμβάνεται υπόψη ο εγκάρσιος οπλισμός:

Για τιμές απαίτησης πλαστιμότητας μεταξύ 1 και 2
Όταν η τιμή της απαίτησης πλαστιμότητας είναι μεταξύ 1 και 2, τότε η αντοχή σε διάτμηση ισούται με τη μέγιστη τιμή που εκτιμάται από τις εξισώσεις 4.1.29 του NTC-18 και 8.7.2.8 του σχολιασμού του NTC-18.
Οι εξισώσεις 4.1.29 του NTC-18 αντιστοιχούν στα στοιχεία που λαμβάνεται υπόψη ο εγκάρσιος οπλισμός.

όπου VRsd είναι η αντοχή σε τέμνουσα που αντιστοιχεί στη συνεισφορά του εγκάρσιου οπλισμού και υπολογίζεται σύμφωνα με την εξίσωση παρακάτω:

και VRcd είναι η αντοχή σε τέμνουσα που αντιστοιχεί στον περισφιγμένο πυρήνα σκυροδέματος και υπολογίζεται σύμφωνα με την εξίσωση παρακάτω:

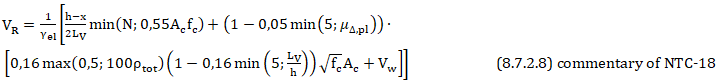
Η εξίσωση 8.7.2.8 του σχολιασμού του NTC-18 αντιστοιχεί σε ικανότητα σε διάτμηση όπως αυτή ελέγχεται από τους συνδετήρες, λαμβάνοντας υπόψη τη μείωση λόγω της απαίτησης σε πλαστιμότητα.

Όπου γel είναι ίσο με 1,15 για κύρια σεισμικά στοιχεία και 1,0 για τα δευτερεύοντα, οι άλλες μεταβλητές υπολογίζονται όπως ορίζεται στην ενότητα C.8.7.2.3.5 του σχολιασμού του NTC-18.
Για τιμές απαίτησης πλαστιμότητας μεγαλύτερες του 3
Αν η τιμή της απαίτησης σε πλαστιμότητα είναι μεγαλύτερη του 3, η αντοχή σε διάτμηση υπολογίζεται από την εξίσωση 8.7.2.8 του σχολιασμού του NTC-18. Τέλος, γραμμική παρεμβολή πρέπει να εκτελείται για τιμές απαίτησης πλαστιμότητας μεταξύ 2 και 3.
Μανδύες Σκυροδέματος
Η τιμή της διατρητικής ικανότητας, των μελών με μανδύα που υιοθετείται στους ελέγχους εξαρτάται από την αντίστοιχη τιμή που υπολογίζεται με τις παραδοχές της ενότητας C8.7.4.1 του σχολιασμού του NTC-18, σύμφωνα με την ακόλουθη εξίσωση:

Περιτύλιξη με ΙΟΠ
Η κυκλική αντίσταση VR, μπορεί να υπολογιστεί από την ενότητα 4.1 του NTC-18 προσθέτοντας στην Vw τη συνεισφορά του μανδύα ΙΟΠ στην αντίσταση διάτμησης. Η συμβολή του φύλλου ΙΟΠ στην Vw υπολογίζεται σύμφωνα με την εξίσωση 4.19 του CNR-DT 200 R1 / 2013 με την ακόλουθη μορφή:
