Ασύμμετρη διγραμμική καμπύλη Takeda - Takeda _asm
Αυτό είναι ένα μοντέλο πανομοιότυπο με τον τροποποιημένο βρόγχο υστέρησης Takeda που περιγράφεται εδώ, όπου διαφορετικές τιμές διαρροής μπορούν να προσδιοριστούν για τον εφελκυσμό Fy(+) και τη θλίψη Fy(-), ώστε να μπορεί να προσομοιωθεί ασύμμετρη συμπεριφορά. Έξι παράμετροι πρέπει να οριστούν προκειμένου να χαρακτηριστεί πλήρως αυτή η καμπύλη απόκρισης:
Αντοχή διαρροής στη θετική διεύθυνση (Fy(+))
Η προεπιλεγμένη τιμή είναι 500
Αντοχή δυσκαμψίας στην αρνητική διεύθυνση (Fy(-))
Η προεπιλεγμένη τιμή είναι 400
Αρχική δυσκαμψία (Ky)
Η προεπιλεγμένη τιμή είναι 200000
Λόγος δυσκαμψίας μετά τη διαρροή προς την αρχική δυσκαμψία (
)
Η προεπιλεγμένη τιμή είναι 0.1
Συντελεστής απομείωσης δυσκαμψίας εξωτερικού βρόγχου (
0)
Η προεπιλεγμένη τιμή είναι 0.4
Συντελεστής απομείωσης δυσκαμψίας εσωτερικού βρόγχου (
1)
Η προεπιλεγμένη τιμή είναι 0.9

Σημειώσεις
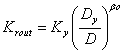
- Η δυσκαμψία αποφόρτισης από την μετά τη διαρροή καμπύλη στον εξωτερικό βρόγχο υστέρησης ορίζεται από:

Ky: Αρχική δυσκαμψία
Dy: Μετακίνηση διαρροής
Dm: Προηγούμενη μέγιστη μετακίνηση
0: Συντελεστής απομείωσης δυσκαμψίας εξωτερικού βρόχου (Krout), δηλ. για αποφόρτιση της αρχικής καμπύλης - Η δυσκαμψία αποφόρτισης στον εσωτερικό βρόγχο υστέρησης ορίζεται από:

1: Συντελεστής απομείωσης δυσκαμψίας εσωτερικού βρόχου (Krin =
1 * Krout), δηλ. για αποφόρτιση και επαναφόρτιση στους εσωτερικούς κύκλους