Ajuste automático del incremento de carga o de tiempo
Como se aquí, para cada incremento se llevan a cabo varias iteraciones hasta lograr la convergencia. Si ésta no es alcanzada en un máximo número de iteraciones especificado, el incremento de carga (o de tiempo) es reducido y el análisis recomenzado desde el último punto de equilibrio (es decir, desde el final del incremento anterior). Esta reducción del incremento, sin embargo, no es constante sino que se adapta al nivel de no convergencia verificado.
Como se ilustra a continuación, al final de la aplicación de cada incremento se calcula un indicador de convergencia (convrat), definido como la máxima de las razones entre factores de convergencia (basados en desplazamientos/fuerzas, ver la sección sobre Criterios de Convergencia) alcanzados y requeridos. Luego, dependiendo de cuán lejos estuvo el análisis de alcanzar la convergencia (convrat = 1.0), se adopta un factor de reducción del incremento (srf) pequeño, mediano o grande para el cálculo del nuevo factor de incremento (ifac). El producto entre éste y la magnitud del incremento de tiempo o carga inicial, definida por el usuario al comienzo del análisis, define el incremento reducido del análisis a utilizarse en el siguiente paso.
Es útil destacar que, con el fin de evitar ciclos de iteración infinitos en análisis mal definidos (que nunca alcanzan la convergencia), el usuario debe imponer un límite inferior para el factor de incremento (facmin). Si ifac resulta menor que facmin, el análisis es interrumpido.

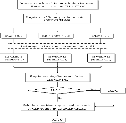
Para minimizar la duración de los análisis es fundamental que, una vez alcanzada la convergencia, el incremento de carga o de tiempo pueda ser gradualmente aumentado. Por esta razón se calcula un indicador de eficiencia (efrat), definido como la razón entre el número de iteraciones llevadas a cabo (ite) para alcanzar la convergencia y el número máximo de iteraciones permitidas (nitmax). En función de cuán lejos estuvo el análisis de la "eficiencia" (efrat > 0.8), se adopta un factor de aumento del incremento (sif) pequeño, mediano o grande para el cálculo del nuevo factor de incremento (ifac). El producto entre éste y la magnitud del incremento de tiempo o carga inicial, definida por el usuario al comienzo del análisis, define el incremento aumentado del análisis a utilizarse en el siguiente paso.
Es importante destacar que el factor de incremento tiene un límite superior igual a 1, con el fin de evitar que el incremento de tiempo o de carga sea mayor que su valor inicial, definido por el usuario al comienzo del análisis. La única excepción a esta regla ocurre cuando se lleva a cabo un análisis de pushover utilizando el algoritmo de carga/solución con Control Automático de la Respuesta, utilizado cuando los usuarios están interesados principalmente en la solución final y no tanto en la trayectoria de carga/respuesta requerida hasta alcanzar dicho punto final de equilibrio.
