Curva Asimétrcia Bilineal de Takeda - Takeda _asm
Este es un modelo similar a la curva de histéresis modificada de Takeda descrita anteriormente, donde diferentes valores de cedencia pueden especificarse para la tensión Fy(+) y la compresión Fy(-), de manera que permita el modelaje de un comportamiento asimétrico. Seis parámetros tienen que ser definidos para poder caracterizar por completo el comportamiento:
Esfuerzo de cedencia en la región positiva
(Fy(+))
El valor por defecto es 500
Esfuerzo
de cedencia en la región negativa (Fy(-))
El valor por defecto 400
Rigidez Inicial (Ky)
El valor por defecto es 200000
Razón
post-cedencia y rigidez inicial (
)
El valor por defecto es 0.1
Factor
de degradación de curva externa (
0)
El valor por defecto es 0.4
Factor de degradación de curva interna (
1)
El valor por defecto es 0.9

Notas
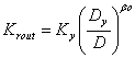
- La
rigidez de descarga de la curva post-fluencia del ciclo de
histéresis externo es definida mediante:

Ky: rigidez inicial
Dy: desplazamiento de fluencia
Dm: desplazamiento máximo precedente
0: factor de degradación de la rigidez del
ciclo externo (Krout), es decir para
la descarga de la curva primera - La
rigidez de descarga del ciclo de histéresis interno es definida
mediante:
1: factor de degradación de la
rigidez del ciclo interno (Krin =
1
* Krout), es decir para
la descarga y carga en los ciclos internos