Capacidad a Cortante (NTC-18)

La capacidad a cortante se calcula a través de las expresiones definidas en la sección 4.1.2.3.5 del NTC-18 y la sección C.8.7.2.3.5 del comentario de NTC-18, dependiendo del valor de la demanda de ductilidad.

En los casos en que el valor de la demanda de ductilidad es inferior a 1, la capacidad a cortante se calcula a partir de la ecuación 4.1.23 de NTC-18, que corresponde a los elementos sin tener en cuenta la armadura transversal:

Para valores de ductilidad entre 1 y 2

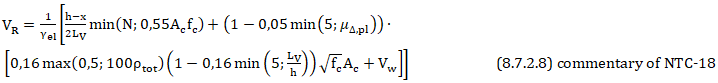
Cuando el valor de la demanda de ductilidad está entre 1 y 2, entonces la capacidad a cortante es igual al valor máximo obtenido de las ecuaciones 4.1.29 de NTC-18 y 8.7.2.8 del comentario de NTC-18.

Las ecuaciones 4.1.29 de NTC-18 corresponden a la capacidad de corte de los elementos teniendo en cuenta el refuerzo transversal.

donde VRsd  es la resistencia al corte que corresponde a la contribución de la armadura de cortante y se calcula de acuerdo con la siguiente ecuación:

y VRcd  es la resistencia al corte que corresponde al núcleo de concreto confinado y se calcula de acuerdo con la siguiente ecuación:

La ecuación 8.7.2.8 del comentario de NTC-18 corresponde a la capacidad de corte controlada por los estribos, lo que representa la reducción debida a la parte plástica de la demanda de ductilidad.

donde γel es igual a 1,15 para los elementos sísmicos primarios y 1,0 para los secundarios, las otras variables se calculan como se define en la sección C.8.7.2.3.5 del comentario de NTC-18.

Para valores de ductilidad mayores a 3

Si el valor de la demanda de ductilidad es mayor que 3, la capacidad de corte se calcula a partir de la ecuación 8.7.2.8 del comentario de NTC-18.

Finalmente, la interpolación lineal debe ejecutarse para valores de demanda de ductilidad entre 2 y 3.

Concreto Encamisado

La resistencia cíclica VR, puede calcularse a partir de la sección 4.1 del NTC-18 agregando en Vw la contribución del encamisado FRP a la resistencia a cortante. La contribución del encamisado FRP se calcula a de acuerdo con la ecuación 4.19 del CNR-DT 200 R1/2013 de la siguiente forma:

Envoltura FRP

La resistencia cíclica VR, puede calcularse a partir de la sección 4.1 del NTC-18 agregando en Vw la contribución del encamisado FRP a la resistencia a cortante. La contribución del encamisado FRP se calcula a de acuerdo con la ecuación 4.19 del CNR-DT 200 R1/2013 de la siguiente forma: