Shear Capacity (NTC-18)
Shear capacity is calculated through the expressions defined in section 4.1.2.3.5 of NTC-18 and section C.8.7.2.3.5 of the commentary of NTC-18, depending on the value of the ductility demand.
For values of ductility demand less than 1
In cases where the value of the ductility demand is less than 1 the shear capacity is calculated from equation 4.1.23 of NTC-18, which corresponds to the elements without taking into consideration the transverse reinforcement:

For values of ductility demand between 1 and 2
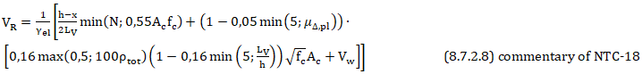
When the value of the ductility demand is between 1 and 2, then the shear capacity is equal to the maximum value obtained from the equations 4.1.29 of NTC-18 and 8.7.2.8 of the commentary of NTC-18.
The equations 4.1.29 of NTC-18 corresponds to the shear capacity of the elements taking into consideration the transverse reinforcement.

where VRsd is the shear strength that corresponds to the contribution of the shear reinforcement and is calculated according to the equation below:

and VRcd is the shear strength that corresponds to the confined concrete core and is calculated according to the following equation:

The equation 8.7.2.8 of the commentary of NTC-18 corresponds to the shear capacity as controlled by the stirrups, accounting for the reduction due to the plastic part of ductility demand.

where γel is equal to 1,15 for primary seismic elements and to 1,0 for secondary ones, the other variables are calculated as defined in section C.8.7.2.3.5 of the commentary of NTC-18.
For values of ductility demand greater than 3
If the value of the ductility demand is greater than 3, the shear capacity is calculated from equation 8.7.2.8 of the commentary of NTC-18.
Finally, linear interpolation should be executed for values of ductility demand between 2 and 3.
Concrete Jacketing
The value for the shear capacity of the jacketed members that is adopted in the capacity verifications depend on the corresponding value calculated under the assumptions of section C8.7.4.2.1 of the commentary of NTC-18, according to the following equation:

FRP Wrapping
The cyclic resistance VR, may be calculated from the section 4.1 of NTC-18 adding in Vw the contribution of the FRP jacket to the shear resistance. The contribution of the fully wrapped FRP jacket to Vw is computed according to 4.19 equation of CNR-DT 200 R1/2013 in the following form:
