Simplified bilinear Takeda curve - Takeda
This is the modified Takeda hysteresis loop described in Otani [1974], featuring however the unloading rules proposed by Emori and Schonobrich [1978]. Essentially, the model consists of a bilinear simplification of the original trilinear model proposed by Takeda et al. [1970], the inner cyclic rules of which were diverse from those proposed by Clough and Johnston [1966] in their original bilinear hysteresis model. This response curve has been initially programmed by Otani [1981] and five parameters need to be defined in order to fully characterise its behaviour:
Yielding strength (Fy)
The default value is 500
Initial stiffness (Ky)
The default value is 200000
Post-yielding to initial stiffness ratio (
)
The default value is 0.1
Outer loop stiffness degradation factor (
0)
The default value is 0.4
Inner loop stiffness degradation factor (
1)
The default value is 0.9

Notes
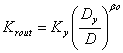
- The unloading stiffness from the post yielding curve in outer hysteresis loop is defined by:

Ky: Initial stiffness
Dy: Yielding displacement
Dm: Previous maximum displacement
0: Outer loop stiffness degradation factor (Krout), i.e. for unloading from the primary curve - The unloading stiffness in inner hysteresis loop is defined by:

1: Inner loop stiffness degradation factor (Krin =
1 * Krout), i.e. for unloading and reloading in the inner cycles