Yük artırımının ve zaman adımının otomatik olarak ayarlanması
Burada da tartışıldığı üzere, yakınsamanın sağlanabilmesi için her bir artırımda bir çok sayıda iterasyon gerçekleştirilir. Yakınsamanın tanımlı olan azami iterasyon sayısında sağlanamadığı durumlarda, yük artırımı (veya zaman adımı) azaltılarak analiz en son dengenin sağlandığı adımdan tekrar başlatılır (bu da bir önceki artırım veya zaman adımı sonuna tekabül eder). Adımdaki bu azaltma, her zaman aynı olmanın aksine yakınsamama durumunun düzeyine göre düzenlenir.
Aşağıda da gösterildiği üzere, her çözüm adımının veya artırımın sonunda bir yakınsama oranı belirleyicisi (convrat) hesaplanır. Bu oran ulaşılan ve hedeflenen yer değiştirme/kuvvet yakınsama oranlarının büyüğü olarak tanımlanır (bkz. yakınsama). Bu aşamadan sonra, çözümün yakınsamaya olan mesafesine göre (convrat = 1); küçük, ortalama veya büyük bir adım azaltma katsayısı (srf) seçilir ve yeni adım katsayısının (ifac) hesabında kullanılır. Bu katsayının, kullanıcı tarafından tanımlanmış olan ilk zaman adımı veya yük artırımıyla çarpılması sonucu bir sonraki adımda kullanılacak olan azaltılmış değerler bulunur.
Hiç bir zaman yakınsanamayan, kötü tanımlı analizlerin durmaksızın
hesaplanmasını önlemek için kullanıcı tarafından asgari adım katsayısı
(facmin) tanımlanır.
Eğer ifac, facmin'den
daha küçük bir değere sahip olursa analiz durdururulur.

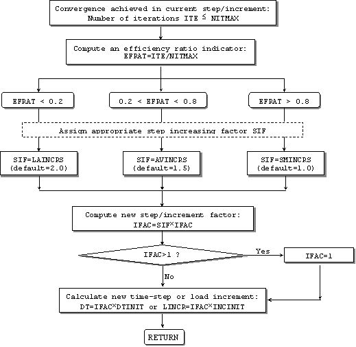
Analiz zamanını en aza indirebilmek için, elbette yakınsama sağlandıktan sonra, yük artırımı ve zaman adımı kademeli olarak artırılır. Bu amaca hizmet etmek için, verimlilik oranı göstergesi (efrat), yakınsamaya kadar yapılmış olan iterasyon sayısı (ite) ile izin verilen azami iterasyon sayısının (nitmax) birbirine olan oranı olarak tanımlanır. Analizin 'verimliliğine' göre (efrat > 0.8), küçük, ortalama veya büyük bir adım artırma katsayısı (sif) bulunur ve yeni adım katsayısının (ifac) hesaplanmasında kullanılır. Adım artırma katsayısıyla, kullanıcı tarafından tanımlanmış olan ilk zaman adımı veya yük artırımıyla çarpılması sonucu bir sonraki adımda kullanılacak olan artırılımış değerler bulunur.
Adım katsayısının üst sınırı 1 olarak hesaplanır, başka bir deyişle, hiç bir zaman artırılmış zaman adımı veya yük artırımı kullanıcı tarafından öntanımlı olan zaman adımı veya yük artırımından daha büyük olamaz.
