Modal/Kütle Nicelikleri
Modal/Kütle Nicelikleri modulü; (i) genel özdeğer sonuçlarının (ör: her bir modun doğal titreşim periyodu, mod katılım faktörleri, efektif modal kütleler) ve (ii) düğüm noktası kütlelerinin özetini sunar. Özetlenen bu değerler sağ tıklamayla beliren menüden kolaylıkla bir metin düzenleyiciye kopyalanabilirler.
SeismoBuild’de, düğümlerin her bir serbestlik derecesinde (ötelenme ve dönme) bulunan kütleler bir tablo halinde özetlenir. Herhangi bir düğüm noktası için dönel kütle, kullanıcı tarafından tanımlanan dönel kütleyle o düğüm noktasına ait olan ötelenme kütlesinin model ağırlık merkezine uzaklığının karesinin çarpımının toplanması yoluyla elde edilir.
Mod Katılım Faktörleri (Ln=FnT*M / Mn=FnT*M*Fn), dikkate alınan "n" modunun yapı dinamik davranışını ne kadar kuvvetli etkilediğini belirtir. Öte yandan, mod şekilleri (Fn) farklı şekillerde normalize edilebileceğinden dolayı, modal katılım faktörleri'nin mutlak büyüklükleri kendi başlarına bir önem arz etmez; modların birbirlerine olan göreceli katılım faktörleri asıl önemi taşır [Priestley et al., 1996].
Yukarıdaki nedenden dolayı mühendisler, özellikle deprem hareketine maruz kalan yapılarda, yapının modlarının dinamik davranışa olan etkisini efektif modal kütle (meff,n=Ln2/Mn) yoluyla değerlendirirler. Buradaki meff,n toplam kütle olan M'nin "n" modu tarafından ne kadarının harekete geçirildiğini gösterir; yüksek efektif modal kütleye sahip olan modlar davranışa daha fazla katkı sağlarlar.
Notlar
- Modal analiz ve ilgili parametreler hakkında daha fazla bilgiye sahip olabilmek için kullanıcıların ilgili referanslara göz atmaları önerilir [ör. Clough and Penzien, 1993; Chopra, 1995].
- Mod şekilleri Φn=1 olacak şekilde normalize edilmiştir.
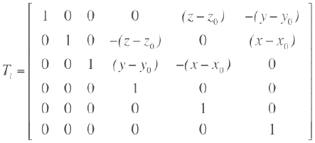
- Dönmeler için geçerli olan Mod Katılım Faktörleri (Modal
Participation Factors-MPF), aşağıda belirtilen dönüşüm matrisi
kullanılarak hesaplanır (x0, y0, z0 kütle merkezinin koordinatlarıdır),
bu durumda modal hareket faktörü
şeklini alır.
