Kesme Kapasitesi (NTC-18)
Kesme kapasitesi, süneklik talebinin değerine bağlı olarak NTC-18'in 4.1.2.3.5 numaralı bölümünde ve NTC-18'in açıklamasının C.8.7.2.3.5 numaralı bölümünde tanımlanan ifadeler aracılığıyla hesaplanır.
Süneklik talebinin 1'den küçük olduğu değerler için
Süneklik talebi değerinin 1'den küçük olduğu durumlarda, kesme kapasitesi, elemanlara karşılık gelen enine donatı dikkate alınmadan NTC-18'in 4.1.23 denkleminden hesaplanır:

Süneklik talebinin 1 ve 2 arasında olduğu değerler için
Süneklik talebinin değeri 1 ile 2 arasında olduğunda, kesme kapasitesi NTC-18'in 4.1.29 ve yorum bölümündeki 8.7.2.8 denklemlerinden elde edilen maksimum değere eşit olur.
NTC-18'in 4.1.29 denklemleri, elemanların enine donatı dikkate alındığındaki kesme kapasitesine karşılık gelir.

VRsd,kesme donatısının katkısına karşılık gelen kesme dayanımıdır ve aşağıdaki denkleme göre hesaplanır

VRcd, sargılı beton çekirdeğine karşılık gelen kesme dayanımıdır ve aşağıdaki denkleme göre hesaplanır:

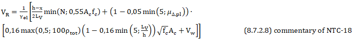
NTC-18 yorum 8.7.2.8’in denklemi, süneklik talebinin plastik kısmından kaynaklanan azalmayı hesaba katarak etriyeler tarafından kontrol edilen kesme kapasitesine karşılık gelir.

γel, birincil sismik elemanlar için 1,15'e ve ikincil sismik elemanlar için 1,0'a eşittir, diğer değişkenler NTC-18'in açıklamasının C.8.7.2.3.5 bölümünde tanımlandığı gibi hesaplanır.
Süneklik talebinin 3'ten büyük olduğu değerler için
Süneklik talebinin değeri 3'ten büyükse, kesme kapasitesi NTC-18 yorumunun 8.7.2.8 denkleminden hesaplanır.
Son olarak, 2 ile 3 arasındaki süneklik talebi değerleri için doğrusal interpolasyon yapılmalıdır.
Mantolanmış elemanlara ait kesme kapasitesi kontrolleri NTC-18 C8.7.4.2.1‘de bulunan ve aşağıda da belirtilmiş olan denkleme göre ele alınır:

Tersinir yükleme altındaki kesme dayanımı NTC-18 Bölüm 4.1 takip edilerek, lifli polimer mantolamanın etkisinin Vw‘ye eklenmesi yoluyla bulunur. Lifli polimerlerle tamamen sargılanmış elemanlarda Vw hesaplanırken aşağıda da belirtilmiş olan CNR-DT 200 R1/2013 Denklem 4.19 takip edilir.
