Kirişler, Kolonlar ve Duvarlar için Kapasite Kontrolleri (NTC-18)
Dikdörtgen kiriş ve kolonların eleman dönme kapasitesi değeri, yapıdaki hasarın durumuna bağlı olarak farklı ifadelerle hesaplanır.
Göçme Önleme Sınır Durumu (SLC)
Göçme önleme limit durum (SLC) için olan eleman dönmesi kapasitesi için değer, tekrarlı yükleme altında beton elemanların toplam eleman dönmesi (elastik artı elastik olmayan kısım) değeridir. Bu değer, aşağıdaki ifadeden hesaplanır:
Kirişler ve kolonlar için:

γel, birincil sismik elemanlar için 1,5'e ve ikincil sismik elemanlar için ise 1,0'e eşit olduğu yerde;LV eğilme momenti, M, ile kesme kuvveti,V arasındaki orandır. Geriye kalan alakalı değişkenler, NTC-18'in C8.7.2.3.2 kısmında tanımlanır.
Duvarlarda, yukarıdaki ifadede verilen değer, 1,6'ya bölünmelidir.
Can Güvenliği Sınır Durumu (SLV)
Can güvenliği limit durumuna (SLV) karşılık gelen eleman dönme kapasitesi, yukarıdaki denklemden hesaplanan nihai eleman dönmesinin ¾'ü olarak varsayılır.
Hasar Kısıtlaması Sınır Durumu (SLD) - İşlevsel Düzey Sınır Durumu (SLO)
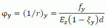
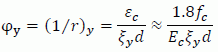
İşlevsel düzey limit durumuna (SLO) ve hasar kısıtlaması limit durumuna (SLD) karşılık gelen kapasite, akma eleman dönmesi tarafından verilir ve şu şekilde değerlendirilir:
Kirişler ve kolonlar için:

Duvarlar için:

γel, birincil sismik elemanlar için 1,5'e ve ikincil sismik elemanlar için ise 1,0'e eşit olduğu yerde;LV eğilme momenti, M, ile kesme kuvveti,V arasındaki orandır. Geriye kalan alakalı değişkenler, NTC-18'in C8.7.2.3.2 kısmında tanımlanır.
Uç bölümün akma eğriliği aşağıdaki ifadelere göre hesaplanır ve aşağıdaki iki değerden düşük olanıdır: (a) kesitin akmasının çelik akmasından kaynaklanması ve (b) basınç altındaki betonun deformasyon nonlineeritilerinden dolayı kesitin akması durumunda.


NTC-18'deki kısım C8.7.2.3.2'ye göre, eleman dönme kapasitesi boyuna donatıların tipi gibi birtakım farklı faktörlerden yüksek derecede etkilenmektedir. Eğer pürüzsüz (düz) boyuna donatılar uygulanırsa, nihai eleman dönmesi NTC-18'deki denklem 8.7.2.4’ten hesaplanan faktör ile çarpılmalıdır. Ayrıca, 8.7.2.3'deki faktör uygulanarak boyuna donatıların iyice bindirilip bindirilmediği, dikkate alınmalıdır. Uygun sismik dirençli detaylandırma eksikliğine sahip elemanların olması durumunda, eleman dönme kapasitesinin plastik kısmı 0,85 ile çarpılır.