Quantità Modali/di Massa
Il modulo Quantità Modali/di Massa fornisce una sintesi (i) dei principali risultati modali (cioè il periodo/frequenza naturale di vibrazione di ciascun modo, i fattori di partecipazione modale e le masse modali), e (ii) delle masse nodali. Questi risultati possono essere facilmente copiati in un editor di testo (o foglio di calcolo), attraverso il menù popup ottenuto col tasto destro del mouse.
Per quanto riguarda le masse nodali, SeismoBuild fornisce una tabella in cui sono riassunte le masse dei nodi per ciascun grado di libertà (anche per la rotazione). Per un certo nodo, quindi, la massa rotazionale è calcolata come la massa rotazionale definita dall'utente per quel nodo, più la massa traslazionale a quel nodo moltiplicata per la distanza al quadrato dal centro di gravità del modello.
I Fattori di Partecipazione Modale, ottenuti come il rapporto tra il fattore di eccitazione modale (
) e la massa generalizzata (
), forniscono una misura di quanto sia influente la partecipazione di un dato modo n nella risposta dinamica della struttura. Tuttavia, poichè le forme modali Φn possono essere normalizzate in diversi modi, la grandezza assoluta del fattore di partecipazione modale in realtà non ha alcun significato, mentre assume importanza solamente la sua grandezza relativa rispetto agli altri modi di partecipazione [Priestley et al., 1996].
Per questo motivo, e in particolare per il caso degli edifici soggetti ad input sismici alla base, è consuetudine per gli ingegneri/analisti utilizzare la massa modale efficace (
) come misura dell'importanza relativa che ciascun modo ha sulla risposta dinamica della struttura. Infatti, dal momento che meff,n può essere interpretato come la porzione di massa totale M della struttura che è eccitata da un dato modo n, i modi con alti valori di massa modale efficace possono contribuire in modo significativo alla risposta.
Note
- Gli utenti sono invitati a consultare la letteratura disponibile [per esempio Clough and Penzien, 1993; Chopra, 1995] per ulteriori informazioni sull'analisi modale e i rispettivi parametri.
- Le forme modali sono normalizzate rispetto affinché Φn=1.
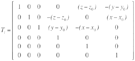
- I Fattori di Partecipazione Modale per le rotazioni sono calcolati considerando una matrice di trasformazione definita come segue (dove x0, y0, z0 sono le coordinate del centro di massa), così che il fattore di eccitazione modale diventa
, da cui la massa modale efficace (come per il caso traslazionale).
