Ικανότητα Παραμόρφωσης Δοκών, Υποστυλωμάτων και Τοιχίων (NTC-18)
Η τιμή της ικανότητας γωνίας στροφής χορδής ορθογωνικών δοκών και υποστυλωμάτων υπολογίζεται μέσω διαφορετικών εκφράσεων, ανάλογα με το επίπεδο ζημιών στην κατασκευή.
Στάθμη Επιτελεστικότητας Οιονεί Κατάρρευσης (SLC)
Η τιμή της ικανότητας γωνίας στροφής χορδής για την στάθμη επιτελεστικότητας Οιονεί Κατάρρευσης (SLC) είναι η τιμή της συνολικής ικανότητας γωνίας στροφής χορδής στην αστοχία των μελών σκυροδέματος υπό κυκλική φόρτιση, η οποία υπολογίζεται από την ακόλουθη έκφραση:
Για δοκούς και υποστυλώματα:

Όπου γel ισούται με 1,5 για κύρια σεισμικά στοιχεία και με 1,0 για δευτερεύοντα σεισμικά στοιχεία, LV είναι ο λόγος μεταξύ ροπής κάμψης, M, και διατμητικής δύναμης, V. Οι υπόλοιπες σχετικές παράμετροι ορίζονται στην ενότητα C8.7.2.3.2 του σχολιασμού του NTC-18.
Για τα τοιχία η τιμή, που δίνεται από την έκφραση πρέπει να διαιρείται με 1,6.
Στάθμη Επιτελεστικότητας Προστασία Ζωής (SLV)
Η ικανότητα γωνίας στροφής χορδής που αντιστοιχεί στην στάθμη επιτελεστικότητας της Προστασία Ζωής (SLV) θεωρείται τα ¾ της γωνίας στροφής χορδής στην αστοχία, υπολογιζόμενη από την ανωτέρω εξίσωση.
Στάθμη Επιτελεστικότητας Περιορισμένες Βλάβες (SLD)-Στάθμη Επιτελεστικότητας Επίπεδο Λειτουργικότητας (SLO)
Η ικανότητα που αντιστοιχεί στις στάθμες επιτελεστικότητας του Επιπέδου Λειτουργικότητας (SLO) και των Περιορισμένων Βλαβών (SLD) δίνεται από την γωνία στροφής χορδής κατά την διαρροή, η οποία εκτιμάται ως:
Για δοκούς και υποστυλώματα:

Για τοιχία:

Όπου γel ισούται με 1,5 για κύρια σεισμικά στοιχεία και με 1,0 για δευτερεύοντα σεισμικά στοιχεία, LV είναι ο λόγος μεταξύ ροπής κάμψης, M, και διατμητικής δύναμης V. Οι υπόλοιπες σχετικές παράμετροι ορίζονται στην ενότητα C8.7.2.3.2 του σχολιασμού του NTC-18.
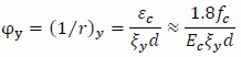
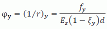
Η καμπυλότητα στη διαρροή της ακραίας διατομής υπολογίζεται σύμφωνα με τις ακόλουθες εκφράσεις και είναι η χαμηλότερη από τις ακόλουθες δύο τιμές: (a) για την περίπτωση που η διαρροή της διατομής οφείλεται σε διαρροή χάλυβα και (b) για την περίπτωση που η διαρροή της διατομής οφείλεται στην παραμόρφωση του σκυροδέματος σε θλίψη.
(a)
(b)
Σύμφωνα με την ενότητα C8.7.2.3.2 του σχολιασμού του NTC-18, η ικανότητα γωνίας στροφής χορδής επηρεάζεται σε μεγάλο βαθμό από διάφορους παράγοντες όπως ο τύπος των διαμήκων ράβδων. Σε περίπτωση εφαρμογής λείων διαμήκων ράβδων, η οριακή γωνία στροφής χορδής πρέπει να πολλαπλασιαστεί με τον συντελεστή που υπολογίζεται από την εξίσωση 8.7.2.4 του σχολιασμού του NTC-18, λαμβάνοντας επίσης υπόψη το κατά πόσο οι διαμήκεις ράβδοι έχουν επαρκή αγκύρωση ή όχι, χρησιμοποιώντας τον συντελεστή της 8.7.2.3. Στην περίπτωση στοιχείων με έλλειψη κατάλληλων λεπτομερειών σεισμικής αντοχής, η οριακή γωνία στροφής χορδής πολλαπλασιάζεται επί 0,85.