Capacidad de Deformación de Vigas, Columnas y Muros (NTC-18)
Estado Límite de Prevención del Colapso (SLC)
El valor de la rotación de cuerda para el estado límite de prevención del colapso (SLC) es el valor de la rotación de cuerda total última (parte elástica más la inelástica) de los miembros de concreto bajo cargas cíclicas, la cual se calcula con la siguiente expresión:

Donde γel es igual a 1,5 para los elementos sísmicos primarios y 1.0 para los secundarios, LV es la razón entre el momento de flexión M, y la fuerza cortante V. Los parámetros restantes están definidos en la sección C8.7.2.3.2 del comentario del NTC-18.
Para muros el valor dado en la expresión anterior se divide entre 1.6.
Estado Límite de Seguridad de Vida (SLV)
La capacidad de rotación de cuerda correspondiente al estado límite de Seguridad de Vida (SLV) se asume como ¾ de la rotación de cuerda última, calculada con las ecuaciones anteriores.
Estado Límite de Limitación de Daño (SLD)-Estado Límite de Nivel Operacional (SLO)
La capacidad que corresponde a los estados límite operacional y de limitaciones del daño (SLO y SLD), están dados por la rotación de cuerda en la cedencia, evaluada como:
Para vigas y columnas:

Para muros:

Los parámetros relevantes están definidos en la sección C8.7.2.3.4 de los comentarios del NTC-18.
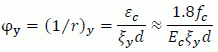
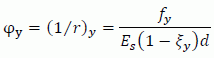
La curvatura de cedencia en la sección del extremo se calcula de acuerdo con las siguientes expresiones para aquellas secciones cuya zona de compresión es de ancho constante y para el caso de que la cedencia de la sección se deba a que el acero esté en cedencia:
(a)
(b)
De acuerdo con la sección C8.7.2.3.2 del comentario del NTC-18, la capacidad de rotación de cuerda está altamente influenciada por varios factores diferentes tales como el tipo de varillas de refuerzo longitudinales. Si se utilizan varillas de refuerzo lisas, entonces la rotación de cuerda ultima debe multiplicarse por el factor calculado de la ecuación 8.7.2.4 del comentario del NTC-18, tomando en también en cuenta si as varillas están bien traslapadas o no utilizando el factor de 8.7.2.3. En el caso de los miembros con falta de detallado apropiado para la resistencia sísmica la capacidad de rotación ultima se multiplica por 0.85.