Deformation Capacity of Beams, Columns and Walls (NTC-18)
The value for the chord rotation capacity of rectangular beams and columns is calculated through different expressions, depending on the state of damage in the structure.
Limit State of Collapse Prevention (SLC)
The value for the chord rotation capacity for the limit state of collapse prevention (SLC) is the value of the total chord rotation capacity at ultimate of concrete members under cyclic loading, which is calculated from the following expression:
For beams and columns:

Where γel is equal to 1,5 for primary seismic elements and to 1,0 for secondary seismic ones; LV is the ratio between bending moment, M, and shear force, V. The remaining relevant parameters are defined in section C8.7.2.3.2 of the commentary of NTC-18.
For the wall elements the value given in the expression above must be divided by 1.6.
Limit State of Life Safety (SLV)
The chord rotation capacity corresponding to the limit state of life safety (SLV) is assumed to be 3/4 of the ultimate chord rotation, calculated from the equation above.
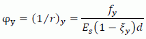
Limit State of Damage Limitation (SLD)-Limit State of Operational Level (SLO)
The capacity that corresponds to the limit states of operational level (SLO) and of damage limitation (SLD) is given by the chord rotation at yielding, evaluated as:
For beams and columns:

For walls:

Where γel is equal to 1,5 for primary seismic elements and to 1,0 for secondary seismic ones; LV is the ratio between bending moment, M, and shear force, V. The remaining relevant parameters are defined in section C8.7.2.3.4 of the commentary of NTC-18.
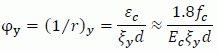
The yield curvature of the end section is calculated according to the following expressions, and it is the lower of the two values below: (a) for the case that the section's yielding is due to steel yielding and (b) for the case that the section yields due to the deformation non-linearities of the concrete in compression.
(a)
(b)
According to section C8.7.2.3.2 of the commentary of NTC-18 the chord rotation capacity is highly influenced by a number of different factors such as the type of the longitudinal bars. If smooth (plain) longitudinal bars are applied, the ultimate chord rotation should be multiplied by the factor calculated from equation 8.7.2.4 of the commentary of NTC-18, taking, also, into consideration whether the longitudinal bars are well lapped or not by employing the factor of 8.7.2.3. In case of members with lack of appropriate seismic resistant detailing the ultimate chord rotation capacity is multiplied by 0,85.